2.4 선형 연립방정식과 역행렬 — 데이터 사이언스 스쿨
선형 예측모형의 가중치벡터를 구하는 문제는 선형 연립방정식을 푸는 것과 같다. 예를 들어 \(N\)개의 입력차원을 가지는 특징벡터 \(N\)개를 입력 데이터로 이용하고 이 입력에 대응하는 목푯값
datascienceschool.net
※ 위 내용의 복습 글입니다.
선형 연립방정식

우리가 흔히 아는 선형 연립방정식이다.
이를 행렬과 벡터의 곱셈을 이용하면 간단하게 다음과 같이 나타낼 수 있다.

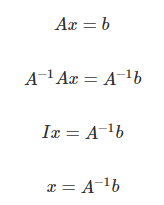
역행렬
우리가 선형 연립방정식을 matrix form으로 사용하는 이유다.
역행렬만 계산하게 되면 선형 연립방정식의 해를 쉽게 구할 수 있다.

넘파이에서도 inv()라는 명령어를 통해 역행렬을 쉽게 구할 수 있다.

예제
다음 선형 연립방정식을 넘파이로 계산해보라.


또는 넘파이 명령어인 lstsq()을 이용하자. lstsq()는 행렬 A, B를 인수로 받고 최소승자문제, 랭크, 특이값을 반환한다.

최소승자문제
선형 최소 제곱법(Linear Least Squares)
물리학, 수학, 전자파, RF, 초고주파, 안테나, 통신 이론, 정보 이론
ghebook.blogspot.com
자연에서 발생하는 많은 데이터들은 선형 연립방정식이 consistent 아닌 경우가 더 많다.
특히 해가 무한히 많은 경우 (미지수가 방정식 개수보다 많은 경우) 차이를 최소화하는 문제로 바꿔 풀 수 있다.
비약적으로 쉽게 말하면 해를 근사한다고 보면 된다.
위에서 푼 lstsq()를 이용해서 나오는 해는 최소승자문제를 통해 나온 답이다.
'Jupyter Notebook > 선형대수' 카테고리의 다른 글
| [Python] 행렬의 성질 (0) | 2021.02.22 |
|---|---|
| [Python] 벡터와 행렬의 연산 (완) (0) | 2021.02.21 |
| [Python] 벡터와 행렬의 연산(1) (0) | 2021.02.20 |
| [Python] 데이터와 행렬 (0) | 2021.02.19 |